Конспект: Які формули з алгебри обов’язково потрібно знати? 7 клас.
Алгебра — це основа багатьох математичних процесів, з якими ми стикаємося щодня. У 7 класі учні знайомляться з ключовими формулами, які стають фундаментом для розв'язання складніших завдань у старших класах. Ці формули не лише допомагають зрозуміти алгебру, але й є обов'язковими для успішного складання НМТ. Ми підготували для вас невеликий конспект з найважливішими алгебраїчними формулами, які кожен семикласник повинен засвоїти для досягнення високих результатів на іспитах та для подальшого вивчення математики. А також підготували приклади розв'язання відповідних завдань.
asdsadasdsadsa
Які теми вивчаються в курсі алгебри 7 класу?
У 7 класі учні вивчають:
-
Лінійні рівняння з однією змінною
Вчимося розпізнавати лінійне рівняння з однією змінною; використовувати основні властивості рівняння; робити рівносильні перетворення; характеризувати випадки, коли лінійне рівняння з однією змінною має один розв’язок, має безліч розв’язків або не має розв’язків; створювати математичну модель задачі у вигляді рівняння; розв’язувати сюжетні задачі з реальними даними щодо: безпеки руху, розрахунку сімейного бюджету, можливості здійснення масштабних покупок, безпеки і охорони здоров’я та інших практичних аспектів фінансових питань.
-
Цілі вирази
Вчимося працювати з числовими виразами та виразами зі змінними; приводити і записувати одночлени і многочлени до стандартного вигляду, зводити подібні члени; застосовувати формули для перетворення многочленів; розуміти сутність дії піднесення до степеня і використовувати властивості степеня з натуральним показником; додавати-віднімати, множити многочлени, розкладати многочлени на множники різними способами. Звертаємо увагу на формули скороченого множення та обчислення значень виразів.
-
Функції
Вводиться сутність поняття функції і те, що пряма пропорційність є окремим видом лінійної функції; закладаються поняття аргументу, функції, області визначення функції, області значень функції, графіка функції. Вчимося знаходити за графіком функції значення функції за даним значенням аргументу і навпаки; визначати окремі характеристики функції за її графіком (нулі, додатні значення, від’ємні значення).
-
Системи лінійних рівнянь з двома змінними
Вчимося застосовувати набуті раніше знання для побудови графіків лінійних рівнянь з двома змінними, використовуючи графічну інтерпретацію — випадки, коли система двох лінійних рівнянь з двома змінними має один розв’язок, має безліч розв’язків або не має розв’язків; визначати способи розв’язування системи двох лінійних рівнянь з двома змінними; створювати математичну модель задачі у вигляді системи рівнянь.

Які формули за 7 клас потрібно знати на НМТ?
Найважливіші формули:
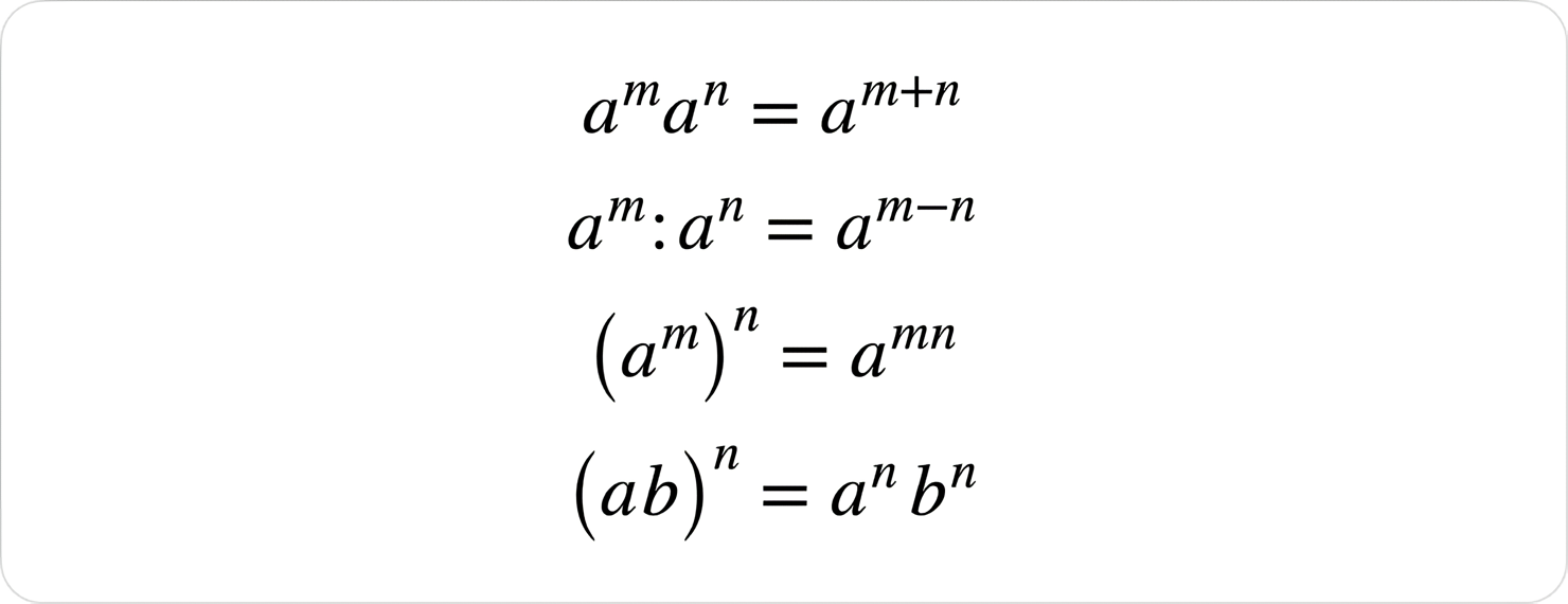
1. Властивості степеня з натуральним показником:

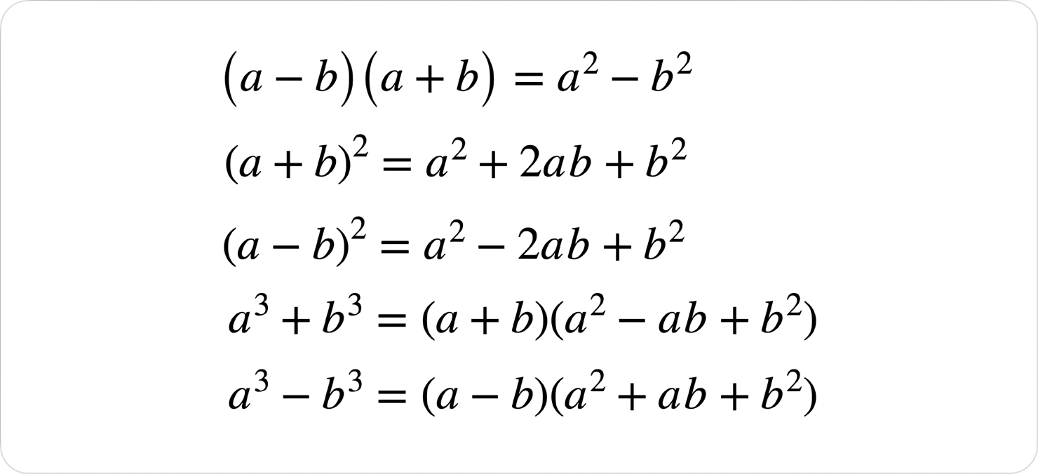
2. Формули скороченого множення:

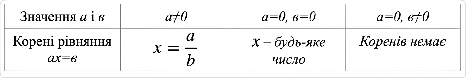
3. Лінійне рівняння з однією змінною:

4. Функції:
Лінійна функція: y = kx + b, де k і b — деякі числа, x — незалежна змінна. y = kx, де k ≠ 0 — пряма пропорційність.
- Методи розв’язування систем двох лінійних рівнянь із двома змінними:
1. Графічний метод
2. Метод підстановки
3. Метод додавання
- Модуль

Приклади застосування формул в завданнях НМТ
Приклад 1.
Розв’яжімо завдання розділу «Рівняння, нерівності та їхні системи». Тема: «Лінійні, квадратні, раціональні рівняння та системи рівнянь».
Розв'яжіть рівняння 
Це завдання перевіряє вміння розв’язувати лінійні рівняння й використовувати властивості.

Приклад 2.
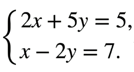
Розв’яжімо завдання розділу «Рівняння, нерівності та їхні системи». Тема: «Лінійні, квадратні, раціональні рівняння та системи рівнянь».
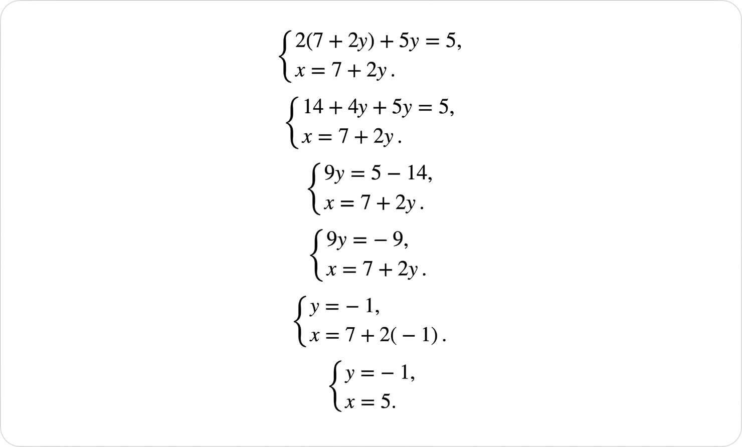
Розв’яжіть систему рівнянь 

Це завдання перевіряє вміння розв’язувати лінійні рівняння та їхні системи.

Отримали зв’язок (5; -1) і суму 5 + (-1) = 4.
Приклад 3.
Розв’яжімо завдання розділу «Рівняння, нерівності та їхні системи». Тема: «Лінійні, квадратні, раціональні рівняння та системи рівнянь».

Якщо рівняння має єдиний корінь, запишіть його у відповіді. Якщо рівняння має кілька коренів, то у відповіді запишіть їхню суму.
Це завдання перевіряє вміння розв’язувати рівняння, використовуючи властивості модуля та означення.
Якщо х ≥ 0, то |x| = x. Значить, х + 4х = 3, 5х = 3, х = 0,6.
Якщо х < 0, то |x| = -x. Значить, х - 4х = 3, -3х = 3, х = -1.
Відповідь: це сума 0,6 + (-1) = -0,4.
Сподіваємося, що цей конспект стане вам у пригоді!
Також на сайті Освіта.UA ви можете подивитися і розв’язати завдання ЗНО/НМТ попередніх років.
А якщо вам складно розібратися в даних темах самостійно — наші викладачі з радістю вам в цьому допоможуть!
Тестовий коментар
Тестовий коментар